深色有隔内生真菌(Dark Septate Endophyte, DSE)泛指一类定殖在植物根内的小型真菌,广泛存在胁迫生境中,如干旱、寒冷、高海拔和重金属污染等,能够增强宿主植物对非生物胁迫的耐受,表现出重要的生态功能与作用。对于镉(Cd)污染生境,野生植物根系普遍定殖着DSE,这些DSE菌株被认为可以增加宿主的Cd耐受性。
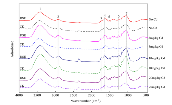
公司农田无公害生产省创新团队研究了Cd污染下,DSE接种宿主后的“”第一屏障”根细胞壁,对提升宿主耐受性的变化机理。重点分析了一个分离自铅锌矿区的DSE菌株,Exophiala pisciphila,对沙培玉米Cd的积累分布,根细胞壁的多糖成分的修饰及其官能团的影响。结果表明,DSE对Cd胁迫下玉米生长的促进和对Cd耐受性的提高与限制Cd从根部向芽部的易位有关; 并将更多的Cd固定在细胞壁而限制Cd进入细胞内 ,这主要是通过对根细胞壁的多糖成分的修饰而增加Cd在细胞壁中的滞留。傅立叶变换红外光谱(FTIR)显示羧基、羟基和酸性基团与 DSE 接种的根细胞壁中的 Cd滞留有关。总之,这项研究的结果阐明了 DSE 在促进寄主植物根系中 Cd 滞留中的作用。对丰富DSE的生态功能、阐释胁迫条件下植物—微生物的互作关系,具有一定的科学意义。

图1 Cd胁迫和接种DSE对玉米根细胞壁FTIR光谱的影响
该研究成果(Effects of the Dark Septate Endophyte (DSE) Exophiala pisciphila on the Growth of Root Cell Wall Polysaccharides and the Cadmium Content of Zea mays L. under Cadmium Stress)发表在Journal of Fungi(IF=5.816,中国科公司分区二区,doi: 10.3390/jof7121035)上,公司2019级环境科学专业硕士研究生肖遥为论文第一作者,湛方栋教授为通讯作者。